星空万象
近期,国家天文台研究人员单素素博士等人联合北京师范大学、曼彻斯特大学的研究人员利用LAMOST时域巡天数据开展黑洞和中子星等致密天体的搜寻计划,发现了一个特殊的单线光谱双星系统LTD064402+245919。该双星系统由一颗亚巨星和一颗“看不见”的天体组成。这是继2019年刘继峰等人利用新方法证认一颗平静态的恒星级黑洞之后,研究人员借助LAMOST数据优势在狩猎致密天体方面取得的又一项重要成果,这也是LAMOST黑洞猎手计划中的一项重要进展。该成果已被国际知名天文期刊《天体物理学报》(2021,ApJ,923,226)发表。
黑洞神秘诡谲,人类对其知之甚少。传统上恒星级黑洞的发现大多基于X射线暂现源。目前,观测上已经确认的恒星级黑洞约20个,侯选体约100个。而恒星演化理论预言银河系内应该会有上亿颗黑洞。而在黑洞双星系统中,能够发出X射线辐射的只占很小一部分。如何找到新的方法,去发现数量巨大、没有X射线辐射的黑洞,成为了天文学界近年来的研究热点和难点。2019年刘继峰等人利用LAMOST光谱视向速度变化方法,在光学波段证认了大质量恒星级黑洞LB-1,为恒星级黑洞的发现提供了新的手段。新的观测方式有望揭示黑洞的新特征,为解开恒星级黑洞样本缺失的谜团提供了可能。

黑洞想象图(来源:U WARWICK/M GARLICK)
利用光谱视向速度从单线光谱双星中来证认恒星级黑洞,打破了依赖于X射线搜寻黑洞的观测限制。因此该方法对于搜寻那些双星系统中X射线平静态的黑洞是非常有效的。结合光谱视向速度监测和时域测光数据联合限制的双星参数信息可以判定,如果双星系统含有一个比较大质量的不可见质量天体,那该系统很可能含有一个致密天体侯选体。如果不可见天体质量大于三个太阳质量,则很有可能是黑洞候选体。
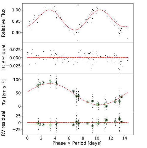
研究人员独立开发了全链条软件来搜寻和解析单线光谱双星系统的物理参数,并在LAMOST数据中发现了一颗特殊的单线光谱双星系统——LTD064402+245919。通过研究其光变曲线发现该系统为密接双星,且周期较长,为14.5天。可见星的质量约为2.77个太阳质量,半径为15.5个太阳半径,有效温度约为4500K。研究人员利用视向速度曲线和光变曲线联合限制了质量方程(见图1),得到该双星系统中的可见星与不可见星的质量比为0.73,在不限制未知星种类时,这个神秘天体的质量约为2.02个太阳质量。研究人员对该系统的光谱进行了分光处理,蒙特卡罗模拟表明,随着LAMOST观测时间的积累,信噪比提高三倍,将可进一步辨认这个不可见天体的类型。
单线光谱双星LTD064402+245919的系统研究是利用LAMOST光学波段时域数据搜寻致密天体(黑洞,中子星等)的创新探索。随着LAMOST海量时域光谱数据的积累,结合本工作开发的搜寻证认致密天体的软件工具,有望发现更多的致密天体候选体,为进一步研究黑洞、中子星等致密天体的性质和起源奠定了基础。
文章链接:https://doi.org/10.3847/1538-4357/ac31b3。

视向速度曲线和光变曲线联合限制双星系统LTD064402+245919的物理参数。
【我们尊重原创,也注重分享。版权原作者所有,如有侵犯您的权益请及时联系,我们将第一时间删除。分享内容不代表本网观点,仅供参考。】


抖音
公众号
小红书